Calculus-1 Final Sınav Provası-4
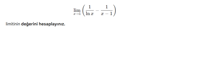
1. Soru
Çözüm videosu için tıklayınız
2. Soru
Çözüm videosu için tıklayınız
3. Soru
Çözüm videosu için tıklayınız
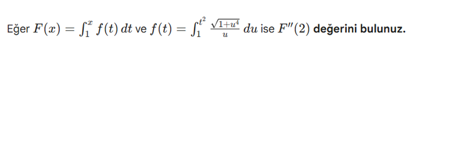
4. Soru
Çözüm videosu için tıklayınız
5. Soru
Çözüm videosu için tıklayınız
6. Soru
Çözüm videosu için tıklayınız
7. Soru
Çözüm videosu için tıklayınız
8. Soru
Çözüm videosu için tıklayınız