Uzay Geometri Test Soruları ve Çözümleri
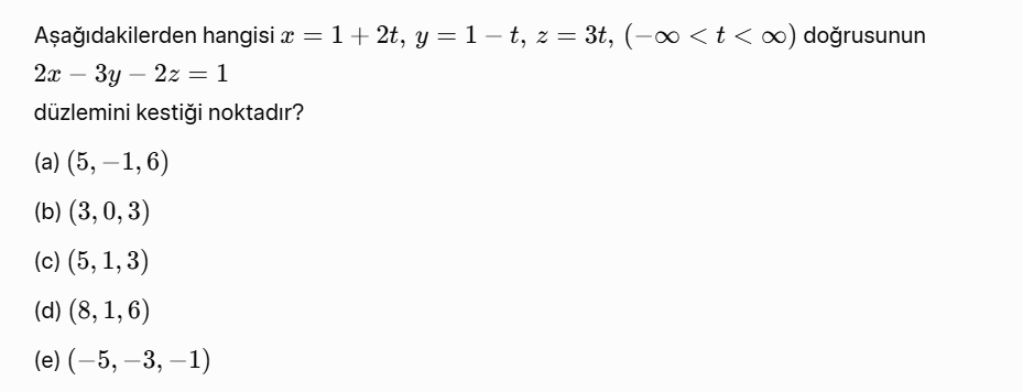
1. Soru
Çözüm videosu için tıklayınız
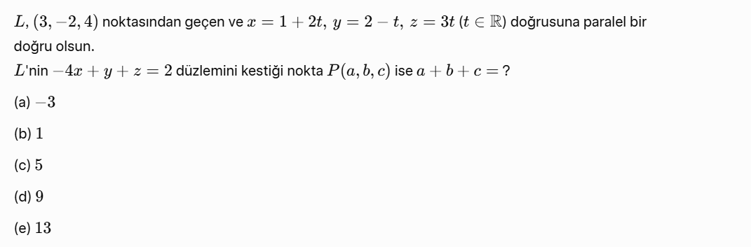
2. Soru
Çözüm videosu için tıklayınız
3. Soru
Çözüm videosu için tıklayınız
4. Soru
Çözüm videosu için tıklayınız
5. Soru
Çözüm videosu için tıklayınız
6. Soru
Çözüm videosu için tıklayınız
7. Soru
Çözüm videosu için tıklayınız
8. Soru
Çözüm videosu için tıklayınız
9. Soru
Çözüm videosu için tıklayınız
10. Soru
Çözüm videosu için tıklayınız
11. Soru
Çözüm videosu için tıklayınız
12. Soru
Çözüm videosu için tıklayınız
13. Soru
Çözüm videosu için tıklayınız