12. Sınıf 1. Yazılı Sınavı – (Orta Düzey-1)
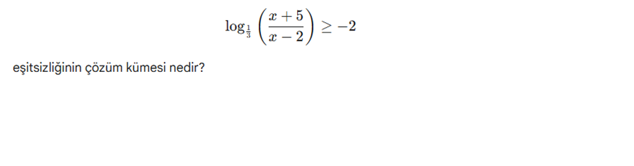
1. Soru
Çözüm videosu için tıklayınız
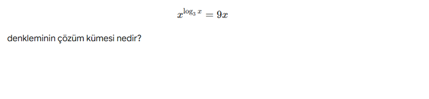
2. Soru
Çözüm videosu için tıklayınız
3. Soru
Çözüm videosu için tıklayınız
4. Soru
Çözüm videosu için tıklayınız
5. Soru
Çözüm videosu için tıklayınız
6. Soru
Çözüm videosu için tıklayınız
7. Soru
Çözüm videosu için tıklayınız
8. Soru
Çözüm videosu için tıklayınız
9. Soru
Çözüm videosu için tıklayınız
10. Soru
Çözüm videosu için tıklayınız